பட்டிருப்பு கல்வி வலய பாடசாலைகளுக்கான வருடாந்த ஆசிரியர் இடமாற்றம் -2025 (இடமாற்ற சபையின் மீள் மேன்முறையீட்டுத் தீர்மானம்)





Announcement













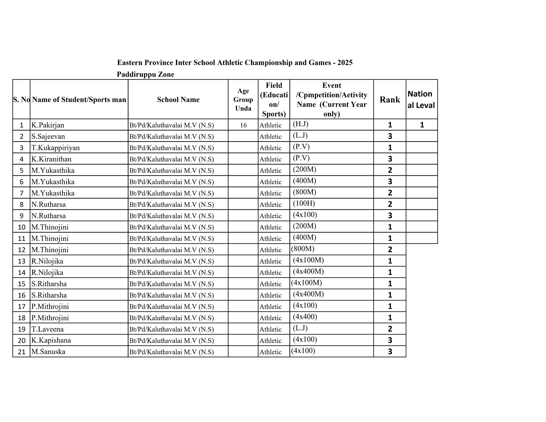
Athletic Championship Games - 2025












fsdgdgdsf fhgfh cfh
"Personable society with excellent knowledge skills and attitude".
MISSION
Provide facilities and guidance to implement educational activities efficiently and effectively to all the schools in the Paddiruppu Zone to develop students with balance personality
We have 164 guests and no members online
| LOGIN : INFORMED HNST |
![]() | Today | 978 |
![]() | Yesterday | 3781 |
![]() | This_Week | 9569 |
![]() | This_Month | 12945 |
![]() | All_Days | 1594531 |